Le site de la source de la Resclauze à Gabian (Hérault)
Le site de la source de la Resclauze à Gabian (Hérault),
(hydrochimie, travertinisation holocène, archéologie et histoire) :
état actuel des connaissances
avec la collaboration de :
La source de la Resclauze (X = 674,83 ; Y = 135,45 Z = 170 m) draine la partie orientale du Causse de Laurens qui appartient à la zone la plus occidentale des écailles de Cabrières 1. Le Causse de Laurens est constitué de calcaires et de dolomies plus ou moins gréseuses du Gédinnien-Siegenien (Dévonien) reposant sur des niveaux de schiste, d’argilite et de psammite de l’Autunien inférieur (Permien) imperméable (Gonord et alii 1964) 2 (fig. 8).
I. La source de la Resclauze
A. Origine
La source de la Resclauze draine les formations carbonatées du Dévonien reposant sur un complexe schisto-argileux du Permien, et jaillit sur une faille orientée est-ouest qui barre l’aquifère karstique. Les calcaires et les dolomies plus ou moins gréseuses du Dévonien à intercalations marneuses parfois épaisses (20 m dans le sondage de la Grange Blanche) ont une puissance maximum de 200 mètres et ils sont bien fissurés et karstifiés ; l’importance de la karstification met en évidence une circulation d’eau importante dans ces matériaux traduisant ainsi leur rôle d’aquifère à perméabilité de fissures. A l’heure actuelle, le débit exact de la source de la Resclauze n’est pas connu avec précision. Les prélèvements réalisés par le village de Gabian à la sortie du griffon ne permettent pas une approche suffisamment fine du débit. Il faut donc se satisfaire des données anciennes répertoriées par le BRGM.
- En 1913, alors même qu’au dire de l’auteur du jaugeage, la source n’était pas en crue exceptionnelle, il fait état de 42 l/s.
- En 1955-1957, les essais de pompage effectués sur la source permettent de déterminer un débit moyen variant entre 4 et 10 l/s.
- En 1988 (Ambert et alii 1988) un débit moyen de 20 l/s pour la source est proposé.
Le niveau des dépôts de tuf nous renseigne sur celui du débit au sein de l’aqueduc. L’observation faite en amont du cimetière de Fouzilhon (J.-C. Gilly 1988) est essentielle puisqu’en ce point l’eau ne pouvait provenir que de la source de la Resclauze. La section mouillée de l’aqueduc 0,60 m x 0,90 m) permettait un débit de 0,70 m3/s environ qui est donc fort supérieur à celui de la source actuelle. On peut donc envisager diverses hypothèses pour expliquer les faibles débits observés durant les années 1955-1957 et à l’heure actuelle, à savoir :
- Les mesures de débits durant les années 1955-1957 ont été réalisées en période d’étiage de l’aquifère.
- Les tufs ont colmaté en partie l’exutoire de la source.
- Les prélèvements d’eau par pompage ont rabattu le niveau de l’aquifère.
- Un nouveau niveau de base de l’aquifère s’est développé.
Il semble bien qu’une modification importante du régime hydrologique de la source de la Resclauze se soit produite depuis l’époque romaine c’est la seule éventualité qui permette d’expliquer que les Romains aient capté cette source pour alimenter la ville de Béziers avec un aqueduc pouvant admettre un débit au moins égal à 700 l/s au droit de Fouzilhon. (Nous y reviendrons dans le chapitre consacré à l’aqueduc.)
B. Caractéristiques hydro chimiques des eaux
La source de la Resclauze est une source karstique correspondant aux systèmes complexes à la limite des milieux poreux, intercalations marneuses et calcaires fissurées recoupés par forage. Les eaux qui alimentent la source doivent circuler assez profondément dans le karst comme le confirme la température de 16° C annoncée par certains auteurs (16,2° C au forage de Fouzilhon dont le niveau statique se situe vers -36 m par rapport au point d’implantation du forage, c’est-à-dire sensiblement au niveau de la source de la Resclauze).
1) La chimie des eaux
Les différentes analyses des eaux ont donné les résultats suivants :
Analyse du 27 novembre 1950 (Archives BRGM) :
- Titre hydrotimétrique : 32°
- Titre hydrotimétrique permanent : 18°
- Résidu sec à 1800 : 308 mg/l
- NH3 : 1,6 mg/l
- CaO : 114 mg/l
- MgO : 32 mg/l
- Si, Al : 32 mg/l
- SO3 : 28 mg/1
- Na Cl : 34 mg/1
Analyse du 16 novembre 1956 (Archives BRGM) :
- Température de l’eau : 16° C
- Résistivité : 1 579 ohms/cm à 20° C
- pH : 7,2
- Na Cl : 38 mg/l
- SO3 : 6 mg/l
- MgO : 17,8 mg/l
- Si : 5 mg/l
- CaO : 140 mg/l
- Matières organiques : 1,9 mg/l
- Titre hydrotimétrique total : 36°
- Titre hydrotimétrique permanent : 15°
- Résidu sec à 180° : 396 mg/l
Analyse du 21 octobre 1988 (J.-P. Mailhé)
- Ca++: 5,76 mé/l = 115 mg/l
- Mg++: 2,38 mé/l = 28 mg/l
- Na+: 0,43 mé/l = 10 mg/l
- K+: 0,01 mé/l = 0,44 mg/l
- TAC : 7,5 = 458 mg/l
- Cl = 0,5 mé/l = 17,7 mg/l
- SO4= : 0,3 mé/l = 14,45 mg/l
- NO3– : 0,03 mé/l = 1,95 mg/l
- PO4= : traces = 0,02 mg/l
- SiO2: 0,1 mé/l = 6,3 mg/l
- pH : 7
- Conductivité : 756 μS
2) Interprétation des résultats de la chimie des eaux
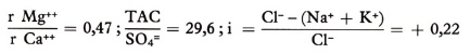
L’eau de la source de la Resclauze est de type carbonaté calcique avec un pôle magnésien assez important provenant de la nature minéralogique de l’aquifère (dolomie) ; les teneurs en ClNa sont relativement élevées.
La résistivité de l’eau varie entre 1550 et 1580 Ώ/cm et on a : r Cl– > r Na+ > r SO4 = > r K+ (r = concentration molaire).
3) Comparaison de la composition moyenne de l'eau de la source de la Resclauze avec les autres grandes sources de la région
Il est intéressant de comparer la chimie des eaux de la source de la Resclauze avec celle des autres sources de la région, les analyses sont données en mg/l.
Les résultats des analyses chimiques des différentes sources importantes de la région mettent en évidence que les eaux de la source de la Resclauze ont une teneur élevée en magnésium et une teneur relativement faible en sulfate alors que les autres éléments ont des concentrations équivalentes.
4) Les équilibres calcocarboniques
L’eau de la source de la Resclauze est bicarbonate-calcique, l’étude du système CO2-H2O-carbonate apporte des informations importantes pour l’interprétation des variations chimiques observées à l’exutoire de la source.
La résurgence d’une eau karstique constitue toujours pour cette dernière une zone d’instabilité chimique et il est rare que les eaux de ces résurgences aient un système CO2-H2O-carbonate à l’équilibre. Les eaux sont le plus souvent saturées ou sursaturées en carbonate.
Les eaux de la source de la Resclauze ont un ΔpH supérieur à 0 elles sont sursaturées et se rééquilibrent par un dépôt de carbonate de calcium. Actuellement on peut observer ces dépôts de carbonate de calcium, classiquement appelés tufs, dans le canal d’amenée d’eau au moulin de Gabian. Dans une article précédent (Ambert et al. 1988) une observation faite dans l’aqueduc très en amont de Fouzilhon incitait à penser (l’aqueduc étant vide de travertins ou tufs) qu’il n’y avait aucun dépôt dans ce secteur jusqu’à la confluence de la Lène. Au contraire, l’observation faite par l’un d’entre nous (J.-C. Gilly, nov. 1988) à 500 m à l’amont du cimetière de Fouzilhon montre un aqueduc largement envahi par les tufs jusqu’à la naissance de la voûte (soit un débit de 500 l/s durant certaines périodes du fonctionnement de l’aqueduc). Ces deux observations, apparemment contradictoires, impliquent un nettoyage des tufs de l’aqueduc dans le secteur amont à une époque qui restera à déterminer.
Les fouilles archéologiques entreprises à proximité de la source de la Resclauze permettent de constater une permanence des dépôts de tufs tout au long de l’Holocène (Mailhé 1979 ; Ambert et al. 1988). La cartographie des dômes de tufs de la périphérie de la source (fig. 2) montre l’extension des travertins holocènes mais permet également de constater l’existence de travertins plus anciens (Quaternaire moyen ?).
II. Les tufs de la Resclauze : état actuel des connaissances archéologiques
La source naît vers 170 m d’altitude, et construit dès l’abord un petit plateau de tuf qui domine au nord et à l’est, la vallée de la Thongue et Gabian, d’une soixantaine de mètres. Des écoulements successifs, plus ou moins anthropisés ont permis des digitations dans ces deux directions, en particulier, en contrebas du dôme de La Pinède (au nord-est). Ce dernier, par son aspect karstifié et sa résistance (c’est d’ailleurs le seul, ou des traces de carriérisation, peuvent être en évidence), nous a paru pouvoir représenter une phase pré-Holocène du dépôt des carbonates. Ailleurs, l’absence de coupes naturelles limite les observations stratigraphiques, absence auxquelles sursoient heureusement les travaux d’aménagement, romains, médiévaux ou actuels de la source, et plus encore, les deux sondages archéologiques qui ont été implantés à proximité de l’exutoire.
1 : alluvions et éboulis, tufs (t) ; 2 : cailloutis pliocènes ; 3 : conglomérats, grès et marnes permiens ; 4 : grès et schistes houillers (Stéphanien) ; 5 : schistes argilitiques du Viséen supérieur avec lentilles de calcaires organogènes et récifs à Productus ; 6 : calcaires, calcaires gréseux et dolomies du Dévonien ; 7 : schistes sombres du Gothlandien ; 8 : calcaires beiges de l’Asghill ; 9 : grès quartzitiques du Caradoc ; 10 : série volcanodétritique de haut en bas grauwackes, porphyrite andésitique, série pyroclastique inférieure ; 11 : schistes de l’Ordovicien inférieur (Trémadoc supérieur-Arenig inférieur) ; 12 : contact anormal majeur à la base du Dévonien ; 13 : contact anormal majeur à la base de l’Ordovicien inférieur ; 11 : contacts anormaux et failles ; 15 : contour géologique ; 16 : pendage ; 17 : trace du plan de coupe.
A. Le sondage archéologique de J.-P. Mailhé (1975) 3
Il a été ouvert, sur 4 m², au sud immédiat de la source, et a donné la stratigraphie suivante (l’épaisseur des couches n’est donnée qu’à titre indicatif puisqu’elle varie sur les quatre côtés). Néanmoins, comme l’indiquent les coupes des deux sondages, il existe un pendage systématique vers le sud-ouest, sans doute indicatif d’un paléopositionnement de la source au sud-ouest de sa sortie actuelle.
- couche 1 – 0 m – 0,35 m : remanié, Moyen Age et gallo-romain.
- couche 2 – 0,35 – 0,75 m : argile tuffacée brunâtre, G.R. fin Ier, début 2e siècle ap. J.-C.
- couche 3 – 0,75 – 1,10 m : tuf blanchâtre bien concrétionné, quelques tessons.
- couche 4 – 1,10 – 1,25 m : marnes tuffacées, beiges, une treintaine de tessons non tournés en proviennent, peu identifiables, âge du fer ( ?).
- couche 5 – 1,25 – 1,45 m : marnes tuffacées beiges, contenant de nombreuses pierres non appareillées, apport intentionnel ( ?), stérile.
- couche 6 – 1,45 – 1,60 m : marnes tuffacées beiges, stérile.
- couche 7 – 1,60 – 1,70 m : tuf stérile.
- couche 8 – 1,70 – 1,95 m : marnes tuffacées jaunes, une pointe de flèche et un fragment de lamelle en silex, quelques tessons bien cuits, néolithique final ( ?).
- couche 9 – 1,95 – 2,15 m : marnes tuffacées jaunes bien concrétionnées, stérile.
- couche 10 – 2,15 – 2,30 m : tuf jaune, stérile.
- couche 11 – 2,30 – 2,40 m : marnes brunes caillouteuses, galets, tessons atypiques, une hache polie, un gland carbonisé. Elle fait l’objet d’une datation 14 C – M.C. 1226: 5865 ± 100 B.C. (3915 B.P.).
- couche 11a – 2,40 – 2,45 m : tuf jaune stérile.
- couche 12 – 2,45 – 2,50 m : marnes brunes caillouteuses.
- couche 12a – 2,50 – 2,60 m : même sédiment moins caillouteux : contenant des tessons cardial, M.C. 1227 6450 ± 100 B.C. (4500 B.P.).
B. Le sondage archéologique de A. Cornejo (1981) 4
Il est situé à 62,5 m de l’angle nord-est du sondage précédent. La partie supérieure de la séquence, couche 1 à 6, n’est représentée du fait du pendage et de la mise en culture que dans la partie méridionale de la fouille. Au niveau du sondage profond, ces couches manquent, le fossé romain et les labours profonds les ayant fait disparaître.
Aussi, donnerons-nous des épaisseurs moyennes, pour ces six premiers niveaux.
La coupe est levée à l’intersection des carrés 2-3 A-F, selon un axe N/W-S/E.
- CO, terre arable marron, remaniée par les cultures.
- F, fossé comblé par des sédiments gris, de nombreuses croûtes de tuf, des fragments de plaques en tuf et des nodules importants avec des cendres charbonneuses ainsi que quelques rares témoins archéologiques. L’ensemble porte des traces blanchâtres. Il a jusqu’à 1 m de profondeur (A-A).
- C1, sédiments gris clair avec des pellicules blanchâtres (10-15 cm).
- C2, couche de tuf blanchâtre plus ou moins concrétionné incluant des empreintes de joncs (5 cm).
- C3, sédiments gris tuffacés comportant quelques pierres et témoins archéologiques (15 cm).
- C4, couche de tuf jaunâtre friable, discontinue (3 cm).
- C5, sédiments gris foncé comportant des charbons, des pierres, des cendres et des témoins archéologiques (15 cm).
- C6, couche de tuf jaunâtre subdivisée en deux niveaux un niveau – 6a – très concrétionné incluant des empreintes de feuilles et un niveau – 6b – aux nodules fins mais très compacts (25 cm).
- C7, sédimients bruns, très fins, comportant de nombreuses pierres, des charbons diffus et des témoins archéologiques (10 à 25 cm).
- C8, sédiment sableux jaunes, parfois absents comportant les mêmes vestiges que la – couche 7 – (10-cm).
- C9, couche subdivisée en trois niveaux : – 9a -, – 9b – et – 9c-. -9a – et -9c – sédiments gris très fins. – 9b – lit discontinu de concrétions, avec des empreintes de joncs (10 à 20 cm).
- C10, lit de tuf friable avec des empreintes de joncs (5 cm).
- C11, sédiments gris, comportant des croûtes de tuf ainsi que des témoins archéologiques (7-8 cm).
- C12, couche de tuf concrétionné, trouée, ayant à sa base une pellicule noire (10 cm).
- C13, sédiments jaunâtres tuffacés, concrétionnés par endroits (20 cm).
- C14, sédiments gris clairs (2 cm).
- C15, sédiments sableux jaunâtres comportant des pierres (5 cm).
- C16, sédiments gris foncé, légèrement argileux (10 cm).
- C17, couche de tuf concrétionné, avec une fine pellicule noire à sa base (10-12 cm).
- C18, couche subdivisée en deux niveaux : – 18a – et – 18b -. 18a – sédiments argileux noirâtres, comportant des charbons. -18b – sédiments argileux grisâtres (20 cm). Des veines blanches relient cette couche à la – couche 22.
- C19, sédiments grisâtres incluant des nodules de tuf (5 cm).
- C20, sédiments argileux gris foncé (3 cm).
- C21, sédiments gris foncé avec des nodules de tuf, incluant des blocs de tuf jaunâtre plus ou moins concrétionnés (30 cm).
- C22, sédiments sableux noirs avec des petits nodules concrétionnés (5 cm).
- C23, sédiments sableux gris clair (10 cm).
- C24, mince lit sableux roux.
- C25, sédiments gris clair (3 cm).
- C26, mince lit sableux roux.
- C27, sédiments argileux brun foncé (5 cm).
- C28, sédiments sableux, comportant des concrétions tubulaires (5 cm).
- C29, sédiments argileux brun foncé, comportant de nombreux cailloux et quelques petites pierres très érodées (sondés sur 10 cm).
C. Corrélations proposées entre les sondages
La construction des édifices tuffacés favorisant à l’extrême les variations de faciès et les passages latéraux, la comparaison des deux sondages ne peut être tentée qu’en référence aux documents archéologiques qu’ils contiennent.
Malgré la mise en culture, la topographie de surface peut être assimilée peu ou prou à celle de la mise en service de l’aqueduc de Gabian à Béziers.
La corrélation entre les couches 4-5 du sondage Mailhé et 3 du sondage Cornejo, est pour l’heure une pure spéculation. Le matériel d’A. Cornejo n’est pas parvenu à notre connaissance, celui de J.-P. Mailhé, peu typique, semble en dernière analyse (rapport des archéologues) pouvoir être attribué au Bronze Final. L’attribution au Néolithique récent, respectivement des couches 6 (Mailhé) et 5 (Cornejo) est, par contre, vraisemblable. Le matériel du sondage Cornejo est assez caractéristique, en rapport avec la date C 14 qu’elle a fourni, Ly/4344 : 4800 + 150BP. Elle est parfaitement synchrone de l’estimation faite en 1979 dans la publication de J.-P. Mailhé, pour le niveau 8 du premier sondage. Le niveau Chasséen (7-8 de Cornejo) n’apparaît pas nettement dans les sondages de J.-P. Mailhé. Son assimilation à la couche II de ce dernier ne peut être retenue qu’à titre d’hypothèse. D’autre part, le fonctionnement du dôme de tuf conditionnant étroitement la fréquentation humaine du site, l’implantation des structures d’habitat sur le bourrelet externe de l’édifice travertineux, peut, en première analyse, laisser supposer une importante mise en eau de la paléo-vasque de la source (existence d’un petit lac ?) à cette époque.
Si l’on souscrit à l’équivalence précédante, l’attribution du niveau 11 de Cornejo à l’horizon cardial (12) bien caractérisé du sondage Mailhé n’est pas invraisemblable. Préférable en tout cas à l’équation 18 = 12. Dans ce cas, les constructions carbonatées sous-jacentes du sondage Cornejo (couches 12 à 29) rejettent donc au début de l’Holocène, voire à une période bien antérieure (si les vieux tufs repérés au nord-est du site se prolongent jusque-là), la base de l’édifice de travertins du plateau de la Resclauze.
III. Les dépôts de tufs dans les édifices d'époque historique
1) Édifices romains 5
A la périphérie de la source, les fouilles de J.-P. Mailhé et de A. Cornejo nous renseignent sur les dépôts carbonatés du début de notre ère.
Dans le sondage Mailhé, l’épaisseur des tufs d’époque romaine ou postérieurs à celui-ci, est particulièrement importante. Néanmoins, il est prématuré d’en tirer d’autres conclusions que celles d’une importante fréquentation humaine au cours du premier siècle de notre ère. Est-ce à dire, qu’elle est liée à la construction de l’aqueduc et à des modifications profondes du site ?
Le sondage Cornejo recoupe un drain de même époque qui ne semble pas (à la lecture du rapport) avoir permis des dépôts de tufs très importants.
A l’aval de la gorge de la Lène, nous avons retrouvé des formations carbonatées à l’intérieur de l’aqueduc aux trois points que nous avons visité avec J.-P. Mailhé.
- Dans une portion d’aqueduc complétement démantelée par la mise en culture entre les propriétés de Lenne et Cazillac. Cette portion qui n’est peut être pas directement tributaire de la Resclauze montre les dépôts de travertins les plus épais (4 cm) sur le fond du canal.
- En amont de Magalas, au niveau du beaudassou, une coupe de l’aqueduc révèle elle aussi des travertins. Peu épais sur le fond (1,2 cm), ils couvrent les parois (2-3 cm), et bourgeonnent nettement vers le sommet du conduit, au niveau général de l’écoulement.
- En aval de Magalas, en rive droite du Libron, après la confluence avec l’aqueduc alimenté par le réseau des sources du secteur de Laurens, les tufs se raréfient, et limités à la sole de fond, ils ne dépassent pas 1 cm d’épaisseur.
Néanmoins, pour l’instant, si la date de construction et le début de l’utilisation restent vraisemblables (1er siècle ap. J.-C.), le démantèlement de l’édifice n’est pas connu avec certitude, on ne peut pas estimer avec précision la vitesse des dépôts de carbonate dans le conduit. Quoiqu’il en soit, la mise en service du système des moulins de Gabian, doit marquer une date importante, sans doute irréversible de l’abandon de la branche orientale de l’aqueduc de Béziers. Sa mise hors d’usage, est peut-être d’ailleurs largement antérieure (simple destruction d’une partie du conduit). Nous ignorons tout à ce sujet.
Comme nous l’avons déjà souligné, le niveau du dépôt de tuf dans l’aqueduc révèle celui du débit au sein de l’aqueduc. Une dernière observation faite en amont du cimetière de Fouzilhon est essentielle puisqu’en ce point l’eau ne pouvait provenir que de la source de la Resclauze. La section de l’aqueduc (0,60 m x 0,90 m) permettait un débit de 700 l/s environ qui est donc très éloigné de celui de la source actuelle.
2) Les moulins de la Resclauze 6
Du simple point de vue des formations carbonatées, nous pouvons faire les constatations suivantes :
- La noria de moulins a été implantée sur un paléo-drain (anthropique ou naturel, il est trop tôt pour répondre), dont une coupe est visible, de part et d’autre du canal des moulins, et en particulier, le long du chemin qui descend droit sur Gabian.
- Le canal, dès l’amont, est comblé de travertins, et de nombreux dômes de déversement existent de part et d’autre de celui-ci. L’un d’eux particulièrement important, est bien visible à l’amon du premier bassin de mise en charge, sur la paroi nord de l’ouvrage.
- Le petit ruisselet actuel qui sert de trop-plein au Grand Bassin montre des micro-dômes en plusieurs points. Il sera sans doute possible de préciser la date de son aménagement.
- Enfin, le détournement en 1980-1981, de ce dernier par M. et Mme Weisgerder, propriétaires des moulins amont, pour assainir l’implantation de leur villa, permet de constater la perduration des dépôts carbonatés tout au long de l’Holocène jusqu’à l’époque actuelle.
Conclusion
La continuité des dépôts de travertin, durant la majeure partie de l’Holocène (y compris durant toute la période historique), la perduration et la variété de l’occupation humaine du site, la relative simplicité du système hydro-karstique font de la source de la Resclauze un ensemble privilégié pour l’étude du système karstique et de ses variations au cours de l’Holocène. Son captage à l’époque romaine, pour les besoins en eau de la ville de Béziers, fournit un modèle d’étude comparable à celui d’autres aqueducs plus connus (Nîmes-pont du Gard).
Notes
1. L’étude de l’ensemble de la Resclauze à Gabian prend la suite des recherches archéologiques de J.-P. Mailhé et A. Cornejo, recherches auxquelles la collaboration de géologues a donné une nouvelle dimension. En effet, les premiers résultats de 1975 et 1981 ont pu être développés dans le cadre d’une Action thématique programmée, Histoire de l’environnement et des phénomènes actuels (responsable J. Vaudour, URA 903 du CNRS entre juin 1986 et juin 1988 par une équipe interrégionale et pluridisciplinaire. Cette recherche a donné lieu à un volume publié à Aix-en-Provence, en 1988 sous le titre de Les édifices travertineux et l’histoire de l’environnement dans le Midi de la France (Provence, Languedoc-Roussillon) (280 p.) qui fait le bilan de l’ensemble des recherches. (Ce volume correspond aux Travaux 1988, n° XVII de l’Unité associée 903, CNRS-Université d’Aix-Marseille II, Laboratoire de Géographie Physique.)
Nous remercions les professeurs J. Vaudour et J.-L. Vernet de nous avoir permis d’utiliser à nouveau, ici, les résultats présentés dans ce volume. Cf. P. Ambert, S. Blétry-Sébé, A. Durand, J. Gasco, J.-P. Mailhé, J.-C. Richard, « Les édifices travertineux de Saint- Guilhem-le-Désert et de Gabian (Hérault) », op. cit., p. 89-116 (= Ambert et alii 1988).
2. Gonord et alii 1964 = H. Gonord, J.-P. Ragot, L. Saugy, Observations lithostratigraphiques nouvelles sur la série de base (ordovicien inférieur) des nappes de Cabrières, région de Gabian-Glauzy (Montagne Noire, Hérault), Bulletin de la Société géologique de France, 6, 1964, p. 419-427 ; Gilly 1986 = J.-Cl. Gilly, Étude géochimique des incrustations de l’aqueduc romain conduisant les eaux d’Uzès à Nîmes : détermination de l’origine des eaux d’alimentation, Méditerranée, 1986, 1-2, p. 131-129 ; Guendon et J. Vaudour 1986 = Les concrétions de l’aqueduc de Nîmes, observations et hypothèses, Méditerranée, 1986, 1-2, p. 140-151 ; J.-P. Mailhé, Le gisement cardial de la Resclauze à Gabian (Hérault), Archéologie en Languedoc, 1979, 2, p. 13-18.
Pour les comparaisons avec l’ensemble de l’aqueduc de Nîmes, on se reportera au texte permanent rédigé par l’équipe de recherche : Le tracé de l’aqueduc dans son environnement, en attendant la publication des recherches conduites depuis plusieurs années et celle de l’étude de J.-L. Fiches et J.-L. Paillet, Le pont du Gard, nouvelle approche du monument et de l’aqueduc, CRAI, 1989, p. 408-426.
3. J.-P. Mailhé, op. cit.
4. Cette fouille est en cours de publication sous la direction de Jean Vaquer.
5. Pour les recherches en cours sur les aqueducs, on voudra bien se reporter aux Annexes de cet article.
6. Il n’était pas possible de donner ici – et en annexe – l’ensemble du dossier concernant l’important ensemble des moulins de Gabian qui présentent un dispositif d’utilisation de la même eau par plusieurs moulins étagés. Cette disposition, rare dans la région, a été reconnue à Neffiès et à Cabrières (cf. Les moulins de l’Hérault, dossier n° 10, 8 mai 1989).
Cette étude des moulins verra le jour ultérieurement et se trouve liée à une meilleure connaissance de l’ensemble de l’histoire de Gabian et du rôle éminent joué par les évêques de Béziers.
Annexe I
La source de la Resclauze. A. Étude géoarchéologique
Jacques-Élie BROCHIER 1
1. Précisions méthodologiques 2
Nous avons retenu, pour décrire l’évolution des processus sédimentaires, 27 descripteurs. Ils ont trait aussi bien à la texture des sédiments qu’à la nature de leurs composants quelque soit leurs tailles (des fragments centimétriques aux poussières). Ils comprennent également quelques descripteurs biologiques présence de Pomatias, de limacelles, de granules de lombrics, de sables cytomorphes…) et anthropiques (présence de tessons, de charbons, de cendre…). Préalablement à toute interprétation dynamique des dépôts, nous avons cherché, par le calcul (analyse factorielle des correspondances), à mettre en évidence des associations de descripteurs, c’est-à-dire, des descripteurs qui ont un comportement semblable au long de la stratigraphie. Pour plus de détails sur les méthodes utilisées, on se reportera à l’étude géoarchéologique détaillée (Brochier 1988). Ces associations, au nombre de quatre, ne sont rien d’autre que des faciès sédimentaires.
2. Faciès et dynamique sédimentaire
La carte factorielle 1/2 (fig. 1) est la représentation plane la meilleure et la plus simple du tableau complexe des résultats analytiques (26 échantillons, 27 descripteurs). Les quatre faciès principaux y sont soulignés par des droites rayonnantes depuis l’origine des axes.
a) Un faciès de carbonatation active et grossière
Il s’individualise dans le second quadrant (F1 > 0, F2 < 0) par la conjonction gros fragments tuffeux [G22] et sable grossier [SG2] dans leurs modalités fortes. La faune à caractère terrestre (helicelles [HE], granules de lombrics [LO], Pomatias elegans [PO]) est absente. Les courbes granulométriques, convexes ou à tendance convexe, suggèrent l’existence de courants localement compétents et donc d’une bonne oxygénation du milieu.
b) Un faciès d'habitat
Dans le troisième quadrant (F1 < 0, F2 < 0) se produisent de nombreuses conjonctions de descripteurs dans leurs modalités fortes. Elles se font autour des descripteurs habitat [HA] définit par la présence de tessons, charbons ou de tout autre objet lié aux activités domestiques, et cendre de bois [PS]. Elles concernent principalement les éléments allochtones de toutes tailles [Axx]. Les plus grossiers correspondent à un apport direct par l’homme, les plus fins aux sédimentations colluviales. Les carbonates aciculaires de la phase limoneuse (lublinites), en modalité moyenne [Lu1], aussi bien que les sables cytomorphes, en modalité forte [CY2], plaident en faveur d’assèchements fréquents.
c) Un faciès argileux anthropique
Dans le quatrième quadrant (F1 < 0, F2 > 0) un nouveau faciès apparaît. Il s’agit de terres fines. Les processus de carbonatation grossière sont paralysées. Les sables fins allochtones, la présence de cendres de bois, montrent la présence de l’homme sur le site sans que l’on puisse parler d’habitat (en ce point tout au moint). La conjonction Pomatias, limacelles [LM], hélicelles et granules de lombrics implique un assèchement du marais associé à la reprise de la végétation terrestre. C’est ce que montre également la timide conjonction des empreintes de feuilles de ligneux [DI1]avec ce faciès.
d) Un faciès argileux organique
Il occupe le premier quadrant. C’est un faciès (limon [LI] et argile [AR] en modalité forte), gris et organique (perte au feu en modalité forte [MO2]). Les sables cytomorphes sont absents mais les lublinites, abondantes, suggèrent des assèchements périodiques. Les profondes fentes de dessication qui s’ouvrent au sommet de l’échantillon 16, supportent cette interprétation. Peu de différences existent entre ce dernier faciès et le précédent. Nous aurions pu les regrouper en un seul qui aurait eu un premier pôle plus anthropique et un second plus sédimentaire. A ce point de l’interprétation, il nous faut considérer la position de l’échantillon F (fossé gallo-romain) dans le plan 1/2. Le captage de la source par les Romains, et donc l’assèchement relatif du marais, est responsable d’une sédimentation très proche de celle qui caractérise notre quatrième faciès. Le dépôt F est beaucoup plus proche de l’axe F2 que les dépôts immédiatement antérieurs. Nous sommes donc conduit à interpréter le faciès argileux organique comme un faciès d’assèchement qui se produit, et c’est là la différence majeure avec le troisième faciès, dans un contexte très peu anthropique. On aura remarqué que des niveaux d’âges très différents peuvent avoir des faciès identiques, ce qui veut simplement dire que l’évolution du marais n’est pas linéaire mais beaucoup plus complexe. C’est sur cet aspect historique que nous voudrions insister à présent.
3. L'évolution du marais pendant les cinq derniers millénaires
Dans la fouille Mailhé, la couche la plus ancienne, cardiale (4500 ± 100/MC 1227), est immédiatement sous-jacente à notre premier échantillon (26). Cette première occupation du site, dans l’état actuel des connaissances, est suivie d’un épisode de colluvionnement actif, le plus énergique de la séquence. Le faciès est un faciès d’habitat. L’analyse de la totalité des dépôts nous conduit à établir une relation de causalité entre l’habitat néolithique ancien et le déclenchement de processus érosifs. Cependant, si l’échantillon 26 se projette dans le plan 1/2 sur le faciès d’habitat, il faut bien voir que ceci provient en partie du codage utilisé. En fait, les caractères de l’échantillon 26 sont tellement marqués par rapport à tous les autres échantillons qu’un codage respectant son originalité aurait produit une image inexploitable, l’opposant simplement à tous les autres. C’est pourquoi cette apparente causalité peut être mise en doute devant l’énorme accumulation détritique grossière allochtone postcardiale. Nous entrons ensuite dans une phase de carbonatation active et grossière qui se produit dans un contexte peu anthropique. Des échantillons 18 à 14, c’est-à-dire peu avant la fin du Néolithique ancien, se dépose une boue carbonatée organique qui semble indiquer une diminution du débit de la source et un assèchement du marais. L’implantation humaine est alors très discrète. Dans les gisements préhistoriques holocènes du Midi de la France, nous avons déjà montré le développement, à partir de 4500/4000 BC et pendant cinq siècles environ, d’une importante crise rhexistasique. Tout porte à croire que l’exploitation du milieu par l’homme n’en est en aucune facon responsable (Brochier : 1986). Le faciès argileux organique des échantillons 18 à 14 de la Resclauze, déposés entre 4500 et 3900 BC, pourrait bien être l’expression en milieu palustre de cet accident à caractère xérique. Avec les échantillons 13 et 12, fagiens ou peu antérieurs (3915 ± 100/MC 1226), le faciès de carbonatation active et grossière s’établit à nouveau. Dès l’échantillon 10 (Fagien), l’empreinte anthropique devient très nette mais, malgré un colluvionnement évident, les encroûtements tuffacés se forment activement jusqu’au Néolithique final. Cette phase de concrétionnement actif, d’âge néolithique moyen et final est interrompue par un bref épisode d’assèchement (échantillon 7, Chasséen) qui se place aux alentours de 3400 BC. Encore une fois, il est tentant de mener un parallèle entre ce que l’on observe dans les dépôts archéologiques d’abri sous roche ou de plein air et ce que nous observons à la Resclauze. Nous avons en effet démontré, à la suite de l’étude de nombreux gisements, l’existence d’une courte crise rhexistasique dans l’Atlantique récent entre 3300 et 3200 BC (Brochier 1986). Rien n’indique, dans ces sites, que sa cause soit anthropique. Au Néolithique final, à la charnière de l’Atlantique et du Sub-boréal, s’amorce le dépérissement du marais alors que la pression anthropique s’estompe. La vitesse de sédimentation devient très lente. La végétation ligneuse colonise peu à peu le marais et la carbonatation ne se produit plus alors que dans la phase colloïdale. Il faut cependant bien garder à l’esprit la signification que nous avons donnée au facteur anthropique : il s’agit des traces laissées par l’habitat. Cette désaffection du site postérieurement au néolithique final est une désaffection en temps que site d’habitat. Une exploitation différente du milieu au cours de la Protohistoire est possible mais nous ne possédons pas les outils pour la mettre en évidence. Les cartes de répartition des sites archéologiques ne nous sont d’aucun secours pour juger de la densité d’un peuplement ou des secteurs exploités à des fins agropastorales. Leur utilisation dans ce sens est illusoire. Nous avons retranscrit graphiquement cette évolution du marais à partir des données chiffrées obtenues par l’analyse factorielle des correspondances (fig. 2).
Cette méthode sous-entend que l’on aura attribué à chaque axe factoriel (ici l’axe 1 et l’axe 2) une signification. L’interprétation de l’axe 1 est évidente : c’est « l’axe d’anthropisation ». La position des échantillons sur cet axe permet de construire le diagramme de la figure 2,1 que l’on comparera utilement avec le diagramme situé immédiatement à sa droite. Il est difficile de définir en quelques mots le sens de l’axe 2. Nous pourrions le baptiser axe d’activité de la source ou « axe de concrétionnement ». Le diagramme de la figure 2,3, construit suivant le même principe, retrace de facon très synthétique l’histoire sédimentaire du marais. Mis côte à côte, ces deux images sont sans doute le meilleur résumé objectif de l’histoire du marais de la Resclauze que l’on puisse donner.
Nous avons soigneusement évité, jusqu’à présent, d’évoquer les encroûtements tuffeux massifs qui, par quatre fois, interrompent la séquence. Dépourvus de toute trace d’activité humaine, séparant par trois fois sur quatre des dépôts génétiquement très proches (on s’en convaincra en observant la carte factorielle 1/2), ils nous apparaissent uniquement liés à des désertions prolongées du site. Ils n’ont donc pas une signification importante dans l’histoire du comblement du marais. Il semble cependant évident que si, dès que l’homme occupe le site, la construction tuffeuse massive s’arrête, le faciès de carbonatation active grossière n’est nullement ralenti par une fréquentation intense. A la lecture des différents diagrammes stratigraphiques, il semblerait que les interruptions par les bancs de tuf massif sont plus fréquentes dans la deuxième moitié du remplissage. Ceci est en fait une illusion qui tient au fait que nos diagrammes ont en ordonnée une échelle chronologique relative et non absolue. Cette illusion traduit bien, malgré le trop faible nombre de repères chronologiques absolus, la diminution, sans doute irrégulière, de la vitesse de sédimentation au cours des sept derniers millénaires.
Notes
1. U.A. 184 CNRS, Laboratoire de Paléontologie humaine et de Préhistoire, faculté des Sciences, Centre Saint-Charles, 13331 Marseille Cedex 3.
2. P. Ambert, A. Delgiovine, 1979, Les tufs de la Resclauze à Gabian. Archéologie en Languedoc, 2, 17-18 ; J.-E. Brochier, 1983, Bergeries et feux de bois néolithiques dans le Midi de la France. Caractérisation et incidence sur le raisonnement sédimentologique. Quartär, 33/34, 181-193, 4 fig., 1 tabl. ; J.-E. Brochier, 1983, Combustion et parcage des herbivores domestiques. Le point de vue du sédimentologue, Bull. Soc. Préhist. Francaise, 80 (5), 143-145, 2 fig. ; J.-E. Brochier, 1986, Étude géoarchéologique des dépôts holocènes du Roc de Dourgne (Sous presse) ; J.-E. Brochier, 1988, Cinq millénaires de sédimentation dans le marais holocène de la Resclauze (Gabian, Hérault). Étude géoarchéologique. Travaux 1988, XVII, Les édifices travertineux et l’histoire de l’environnement dans le Midi de la France. UA 903 CNRS et ATP-PRIEN, Aix-en-Provence, 117-136; G. Cahot, A. Guyon, D. Moussain, 1985, Interrelations entre aiguilles de calcite et hyphes mycéliens, Agronomie, 5 (3), 209-216 ; B. Jaillard, 1987, Les structures rhizomorphes calcaires modèle de réorganisation des minéraux du sol par les racines. INRA, Laboratoire des Sciences du Sol, Montpellier, 221 p., 3 pl. hors texte, nombreuses figures ; C. S. lVtecek, A. S. Messenger, 1972, Calcite contributions by earthworms toforest soils in Northern Illinois. Soil Sei. Soc. of Amer. Froc., 36 (3), 478-480.
B. Exploration en plongée souterraine
Franck VASSEUR et Vincent DURAND
A la demande du Groupe de recherches archéologiques et historiques de Montpellier, MM. V. Durand et F. Vasseur, membre du C.L.P.A., section plongée de Montpellier, ont effectué, le 21 octobre 1988, une exploration en plongée de la source de la Resclauze afin d’établir un relevé topographique de la source.
Sous l’abri maconné moderne qui protège la source, les plongeurs ont d’abord exploré le réservoir bien parementé et effectué un relevé). La construction est établie sur le rocher naturel et offre deux côtés en angle de 900 et un troisième côté en quart de cercle elle est orientée sud-ouest-nord-est. La venue d’eau se situe, sur la partie circulaire, au sud-ouest. A l’ouest un vide avec cône d’éboulis s été repéré : il ne laisse pas sourdre de courant d’eau.
De ce réservoir part un aqueduc, sur la face nord-est qui perce le parement demi-circulaire à cet endroit.
L’aqueduc a été suivi et forme un angle de 90° vers l’est à 21,50 m de l’aplomb du mur. Il a une largeur de 0,60 m et une hauteur de 1,20 m. La voûte, demi-cirulaire a un rayon de 0,35 m et une largeur de 0,70 m (calculs effectués à 50 m du début de l’aqueduc).
Cet aqueduc rejoint le grand bassin à ciel ouvert à travers une construction moderne dans laquelle est implantée la prise d’eau contemporaine.
Sur le parcours de cet aqueduc, deux regards on été reconnus. Le radier n’a pas pu être observé en raison de la présence de fines et de graviers. De même, l’appareil de la construction est dissimulé par des concrétionnements présents sur toute la longueur. Le coude à 90° ne semble pas présenter, dans l’axe du premier troncon de l’aqueduc, de traces d’une ouverture, colmatée, qui pourrait correspondre à une suite rectiligne vers le nord-est. Cette observation est donnée sous réserve de vérifications internes et externes à réaliser.
Sur tout son tracé, cet aqueduc offre de nombreuses fuites qui sont matérialisées par des bulles d’air.
Enfin, à mi-parcours, un rétrécissement en hauteur et en longueur a pu être observé.
Cette exploration a un caractère provisoire dans la mesure où elle doit être suivie d’une fouille terrestre qui permettrait d’étudier par l’extérieur cet aqueduc. Par ailleurs, dans l’état actuel des observations, il n’est pas possible de proposer de datation tout laisse penser, cependant, que ce dispositif doit dater de l’époque moderne et, probablement, du Moyen Age. Il serait imprudent d’envisager une datation plus ancienne qui est conditionnée par la découverte et la mise au jour de l’aqueduc de Béziers. Il reste patent que l’aqueduc que nous avons exploré n’est pas celui qui conduisait l’eau de la Resclauze vers la colonie romaine mais celui de la communauté de Gabian.
Annexe II
L'aqueduc romain de Béziers
A. Historique des recherches et reconnaissance des vestiges et du tracé
Sylvie BLÉTRY, Claude RICHARD et le G.R.A.H.M.
Depuis H. Creuzé de Lesser qui semble être le premier, en 1824, à avoir décrit l’aqueduc de Béziers à son départ de Gabian 1, et E. Sabatier qui s’est intéressé, en 1841, dans le cadre d’une étude pour l’approvisionnement d’eau de Béziers, au tracé de cet aqueduc 2, peu de progrès ont été réalisés et les observations restaient très dispersées. En 1970, dans sa thèse sur la cité de Béziers 3, Monique Clavel faisait le point des connaissances et livrait un tracé (voir figure ci-après). Marianne Dodinet, dans le cadre d’une thèse de 3e cycle, en 1984 4, présentait l’aqueduc, les tracés retrouvés ou restitués et rappelait les fouilles de Jean-Pierre Mailhé en 1975) 5.
En 1987 et 1988 dans le cadre d’une recherche sur les Moulins 6 des observations ont pu être faites à proximité de la source, dans la direction de Fouzilhon. En 1988, avec la collaboration de Jean-Pierre Mailhé, une équipe du Groupe de recherches archéologiques et historiques de Montpellier 7, sous la direction de Claude Richard et avec la collaboration de Chr. et J.-L. Baudière, J. Baudin, H. Petitot, V. Fabre, M.-P. Durand, S. Robira, M. Barral, a procédé à une recherche du parcours souterrain de l’aqueduc, sur le territoire de Gabian, par la méthode de mesure de la résistivité électrique du sol : en direction de Pouzilhon, dans une zone où des observations antérieures avaient déjà été faites, il a été possible de localiser le tracé de l’aqueduc et, de proche en proche, de définir une probabilité jusqu’à la source. A proximité de cette dernière, les mesures réalisées permettent d’envisager deux tracés distincts : celui qui, aujourd’hui encore, est en service pour conduire l’eau de la Resclauze vers le grand bassin à ciel ouvert (parcelle 763) depuis la parcelle 765 (la source) et à travers la parcelle 761 ; d’autre part, un tracé qui, depuis la parcelle 765, traverse la parcelle 766, une bande de la parcelle 761 et se poursuit dans la parcelle 764.
Ce second tracé reste, dans l’état actuel de l’exploration, hypothétique et devra être confirmé par de nouvelles mesures et, surtout, par une contrôle archéologique.
L’aménagement actuel de la source ne permet pas de voir une sortie d’eau dans l’angle opposé à celui qui laisse s’écouler les eaux vers l’aqueduc en service. Le parement des murs est et sud du captage ne laisse pas apercevoir une ancienne sortie murée. Il est vrai que nous ne pouvons actuellement pas dater le captage et que les murs peuvent correspondre à un réaménagement général postérieur au moment où l’aqueduc de Béziers avait cessé de fonctionner 8.
En l’état présent de nos connaissances, nous ne pouvons pas aller au-delà : seule une fouille étendue, à proximité même de la source et en direction du tracé reconnu par la résistivité, permettrait de régler le problème du départ de l’aqueduc de Béziers. Nous donnons maintenant les comptes rendus d’explorations ponctuelles conduites en 1988 et 1989 sur les aqueducs issus de la Resclauze, et nous souhaitons que le programme d’étude 9 que nous avons envisagé puisse avoir lieu 10.
Notes
1. « Aqueduc romain de Béziers. Les Romains conduisirent, dans leur colonie de Béziers, les eaux de l’abondante fontaine de Gabian, par les aqueducs qui avaient près de 5 lieues 1/2 de développement, et dont on voit encore les restes sur la crête des versants qui partagent à l’est et à l’ouest les eaux qui tombent dans l’Orb, Tongues et Libron.
Un bassin d’une vaste étendue existe encore presque entier auprès de cette fontaine, et sert de réservoir à plusieurs moulins mus par les eaux qui en sortent. Il parait que ce bel ouvrage fut détruit en 1209, dans le siège et le sac de Béziers; à cette malheureuse époque, il ne fut plus question de le rétablir, parce que Béziers ne remonta plus à sa splendeur et à son importance première.
Plusieurs millions seraient aujoud’hui nécessaires pour cette grande entreprise et malgré son évidente utilité, malgré l’incontestable préférence qu’elle devrait naturellement obtenir sur tous les autres moyens de fournir de l’eau à Béziers, on ne saurait la proposer, parce que la dépense est disproportionnée avec les facultés de cette ville
On reconnaît encore facilement l’existence d’un canal souterrain, qui, par sa direction dans un pays montueux et difficile, embrassait dans un cours étendu, par un niveau bien ménagé, huit sources d’eau vive, les plus abondantes du pays, fort éloignées les unes des autres et dans des niveaux différents.
En partant de Sauve-Plane, au lieu-dit la Rasclause-Vieille, où se trouve un bassin profond, construit par les Romais, qui réunit à leur naissance, les eaux de la source, l’aqueduc se dirigeait dans la plaine de Fauzilhon, à l’est de ce petit village, descendait par plusieurs angles le long de la rivière de Léne, embrassait la source de ce nom, prenait à quelque distance le conduit de la source dite Font-Jeannette, quittait la rivière de Léne, s’avancait dans la plaine, prenait la source dite de Gambe-tarte, et allait se réunir à la fontaine dite de la Magdeleine.
Après avoir traversé le ruisseau dit de Badausson, où l’on apercoit, sur la rive, au sud-est de l’aqueduc, une espèce de four à brique enfoui dans la terre et de construction romaine, il se dirigeait à l’ouest de Magalas, se joignait à l’autre branche du canal formé par la source dite la Rautés, territoire de Laurens, par la source intarissable du Thou, et par celle de la Peyrade, territoire de Magalas.
Il est à remarquer qu’aucune de ces sources n’a tari pendant les dernières sécheresses.
Enfin, ce canal traversait la rivière de Libron, les terroirs de Magalas, Puissalicon et Puimisson, et de dirigeait du côté de Ribaute.
M. de Fontenille, lieutenant-colonel du génie, l’un des hommes les plus instruit et des plus zélés pour le bien public, dont le département puisse s’honorer, a présenté un projet qui consiste à élever les eaux de la rivière d’Orb au niveau de la place Saint-Louis, par le moyen de deux machines à vapeur, construites d’après le système de Wolf, à haute et à double pression.
180 000 fr. sont nécessaires pour élever, de la rivière d’Orb sur la place Saint-Louis, l’eau nécessaire aux besoins et aux établissements de Béziers.
20 000 fr. devront être employés, après cette opération, pour faire le grand bassin de réception et de clarification, et pour la conduite qui amènera les eaux dans les aqueducs existants.
On ne connaît aucune eau de source qui puisse être conduite par une pente naturelle dans la ville avec une dépense proportionnée au résultat.
Les machines à vapeur ont seule paru propres à tirer et élever l’eau de la rivière d’Orb.
14 400 fr. seront la dépense annuelle nécessaire pour entretenir ces machines.
15 pouces d’eau peuvent être vendus et payer la dépense annuelle.
Le combustible (la houille) nécessaire se trouve dans l’arrondissement, et son emploi encouragera les extractions et augmentera la circulation et le travail. (H. Creuzé de Lesser, Statistique du département de l’Hérault, Montpellier, 1824, p. 590-591).
A la suite de M. le Professeur G. Cholvy, nous rappellerons que Hippolyte n’est pas le préfet mais bien le fils du préfet de l’Hérault, Augustin, Francois, baron Creuzé de Lesser (1771-1839) qui exerca cette fonction de 1817 à 1830. Le père, en dehors de sa carrière administrative, était l’auteur de comédies, de livrets d’opéra, et de poèmes épiques. On lui reconnaît une place dans le romantisme par son action en faveur des littératures étrangères et des légendes médiévales.
2. E. Sabatier, Les fontaines de Béziers, Bulletin de la Société archéologique de Béziers, 1re série, 4, 1841-1843, p. 36-100, pl. 1.
3. M. Clavel, Béziers et son territoire dans l’Antiquité, Paris, 1970, p. 288-293.
4. M. Dodinet, Carte archéologique et cadastres romains, l’exemple du nord Bitterois, Besancon, 1984, p. 96-100.
5. J.-P. Mailhé, Le gisement cardial de la Resclauze à Gabian (Hérault), Archéologie en Languedoc, 1979, n° 2, p. 13-18.
6. Cette recherche sur les moulins était conduite avec la collaboration de J.-P. Mailhé sous la responsabilité de P. David par l’Association Arts et Traditions rurales cf. en dernier lieu, G. Durand et J.-. Mailhé, Les moulins à eau et à blé de la commune de Gabian (Hérault), Les Moulins de l’Hérault, Dossier, n° 10, 1989, p. 62-72.
7. Les travaux conduits par le G.R.A.H.M. n’ont donné lieu qu’à des rapports internes.
8. A la suite de travaux agricoles conduits sur les parcelles qui jouxtent la source de la Resclauze, deux monnaies antiques ont été mises au jour : un as de Nîmes au crocodile (8,98-g mais flan incomplet) du premier type ; un petit bronze de Julien, au type Spes rei publice (poids : 2,10 g), daté de 358-361 après J.-C., découvert sur un mur, probablement antique, à proximité immédiate du captage (découvertes J.-C. Gilly et J.-P. Mailhé). Ces documents ne sont pas suffisants pour déterminer les bornes de l’occupation et de l’utilisation romaine.
9. Ce programme a été élaboré, déposé et présenté dans plusieurs réunions. Son exécution est liée d’une part à l’ouverture d’un grand chantier de fouilles archéologiques et, d’autre part, à des moyens publics pour explorer le tracé de l’aqueduc de Gabian à Béziers. L’importance de l’eau pour les habitats antiques de notre région – et le manque de nos connaissances à ce sujet – a été soulignée par S. Blétry-Sébé, La maîtrise de l’eau sur les oppida du Languedoc oriental, Revue archéologique de Narbonnaise, 19, 1986, p. 1-29.
Nous avons appris la prochaine publication d’un ouvrage de J.-L. Andrieu, L’aqueduc romain de Béziers.
10. En dehors de l’ancienne étude de A. Fabre (Histoire des communes de l’Hérault, Canton de Roujan, Histoire de Gabian, Mâcon, 1894) nous ne disposons pas d’étude récente approfondie et la bibliographie, toutes périodes confondues, se résume à : Chr. Marty, 1980-Année du Patrimoine, un médicament, an carburant, le Pétrole de Gabian, le premier gisement de France, s.l., 41 p. (reprographié); A. Couderc, Une opération programmée pour l’amélioration de l’habitat, Paris, UPA 6, 23 mars 1982, sous la direction de H. Fillipetti (176 p., reprographié) ; B. Gueroult, Gabian, histoire et possibles, Paris, UPA 6, novembre 1982, sous la direction de H. Fillipetti (93 p., reprographié).
B. Pente, tracé, technique de construction et incrustations sur les parois
Jean-Claude GILLY
Les seuls travaux de recherche sur le tracé de l’aqueduc romain de Béziers ont été effectués, à notre connaissance, par Marianne Dodinet et Monique Clavel-Lévêque 1. Il semble que la partie aérienne de l’aqueduc soit moins bien conservée que celle de l’aqueduc de Nîmes. Il est possible que la partie souterraine soit encore intacte et permette une étude approfondie de l’ouvrage 2.
1 - Pente de l'aqueduc
L’aqueduc a une longueur de 30 kilomètres environ, son départ, à la source de la Resclauze, se trouve à la cote + 173 m NGF et son arrivée à Béziers est à la cote + 68 m NGF environ, ce qui donne une différence altimétrique de 105 m. On peut en déduire que la pente moyenne du canal de l’aqueduc est de 3,5 m/km soit dix fois supérieur à celle de l’aqueduc de Nîmes (0,34 m/km). La pente du canal entre la source de la Resclauze et Fouzilhon est très importante, de 15 m/km environ.
2 - Tracé de l'aqueduc
L’écoulement des eaux dans les aqueducs romains était toujours gravitaire, ce qui impliquait une reconnaissance parfaite de la topographie du site entre la source et l’arrivée au Castellum divisorium, avant la construction de l’ouvrage.
L’aqueduc doit être adapté aux courbes de niveau (ce critère est important pour la recherche du tracé). Cependant, par souci d’économie, les ingénieurs romains ont pu creuser des tunnels pour raccourcir le tracé (l’aqueduc de Nîmes, par exemple, est en tunnel sur plus de 600 mètres à l’entrée de Nîmes). Les ruisseaux et les rivières étaient franchis à l’aide d’ouvrages d’art et, en général, ces derniers se trouvent en des points bien particuliers qui tiennent compte de la géologie du secteur.
3 - Technique de construction de l'aqueduc
L’aqueduc a été construit avec les matériaux du site qui présentent de bonnes caractéristiques géotechniques (calcaires, dolomies et grès).
- A) Le radier. Le lit de pose du radier est constitué de blocs non taillés noyés dans un microbéton de chaux et de sable silico-calcaire de granulométrie 0/10 m/m. Le radier lui-même est formé par un macrobéton de chaux et de pierres cassées qu’il faudra étudier.
- B) Les piedroits. Les piedroits sont construits avec un parement intérieur en petit appareil posé en opus rectangulum et à joints secs. Le parement extérieur est constitué de blocs provenant des déchets de taille liés avec un mortier de sable silico-calcaire et de chaux lorsque l’aqueduc est enterré (on peut observer cette technique de construction dans la vallée de Lène au sud de Fouzilhon). L’intérieur des piedroits du canal est enduit d’une couche de béton de tuileau à la chaux d’une épaisseur de quelques centimètres. Cet enduit permet de compenser les irrégularités de parement des pierres de taille et d’obtenir une surface rigoureusement plane et étanche qui facilite la circulation de l’eau dans le canal et évite le dépôt trop rapide d’incrustation calcitique. Le béton de tuileau à la chaux n’a pas été recouvert d’une couche de « maltha », du moins dans la section de Fouzilhon, contrairement à l’aqueduc de Nîmes.
- C) La voûte. Il semble que l’aqueduc dans la section de Fouzilhon était recouvert par une voûte comme le prouvent les pierres plates jointoyées au mortier de chaux que l’on trouve actuellement dans les décombres qui envahissent le canal.
- D) Dimensions du canal. Les vestiges des piedroits du canal encore visibles près du cimetière de Fouzilhon permettent de connaître la largeur qui est de 0,60 m soit la moitié de celle du canal de l’aqueduc de Niasses.
La hauteur du canal n’est pas déterminable dans le secteur étudié mais doit être de 0 m 60 à la naissance de la voûte ce qui donne une surfacc libre de 0,36 m² à la naissance de la voûte et de 0,50 m² au total soit une surface quatre fois inférieure à celle de l’aqueduc de Nîmes.
4 - Les incrustations sur les parois internes de l'aqueduc
La circulation des eaux a donné lieu, au cours des années, au dépôt d’une couche d’incrustation interne atteignant 0,035 m à Fouzilhon. Cette épaisseur ne doit représenter qu’une incrustation faible par rapport à celles que l’on peut attendre sur des sections rapprochées de Béziers et ceci pour deux raisons :
- Le dépôt mesuré à Fouzilhon est très proche de la source (2 km) et les équilibres calco-carboniques n’étaient pas atteints : la précipitation physico-chimique de la calcite ne pouvait s’effectuer que très faiblement.
- La pente de l’aqueduc forte en ce secteur devait donner naissance à des vitesses importantes dans le canal (1,5 à 2 m/s).
Les incrustations prélevées près du cimetière de Fouzilhon sont varvées et ont une épaisseur de 0,035 m. On peut observer sur ces incrustations des variations à l’échelle centimétrique, elles sont constituées d’alternances de couleur brune et blanche, à l’échelle millimétrique, l’étude à la loupe binoculaire montre que ces alternances sont composées de laminae de couleurs variables, blanc, blanc rosé, rose brun et brunâtre.
Les laminae les plus fines doivent correspondre aux variations saisonnières alors que les couches complexes proviendraient des fluctuations climatiques de période 11 ans.
Une étude comparative entre les incrustations des aqueducs de Béziers et de Nîmes sera indispensable pour bien en fixer les genèses.
5 - Les alimentations secondaires de l'aqueduc
Le tracé de l’aqueduc permettait de capter deux sources pérennes en aval de Fouzilhon à la sortie des gorges de la Lène : la source de Font jeannette au sud du Puech Noyé, et la source de Jambe Torte à l’ouest de la Lène. Une étude plus précise sera nécessaire pour évaluer l’apport de ces sources à l’aqueduc de Béziers.
Notes
1. M. CLAVEL-LÉVÊQUE, Béziers et son territoire dans l’Antiquité, Paris, 1970, p. 288-293 ; M. DODINET, Carte archéologique et cadastres romains, l’exemple du Nord-Biterrois, Besancon, 1984, doctorat de 3e cycle, (inédit), p. 96-100 ; en attendant l’ouvrage sous presse de J.-L. ANDRIEU, L’aqueduc romain de Béziers, Paris, 1990.
2. J.-P. ADOLPHE (1973), Contribution à l’étude des encroûtements carbonatés de l’aqueduc du Pont du Gard, C.R. Acad. Sc. Paris, 277, D, p. 2329-2332 ; M. BAKALOWICZ (1979), Contribution de la géochimie des eaux à la connaissance de l’aquifère karstique et de la karsification, Th. Doc. Sci. Nat. Paris, 269 p. : J.-J. BLANC (1988), La séquence des laminae carbonatées à Sernhac aval (Aqueduc Romain du Pont du Gard), Rapport interne ATP « Archéologie, géosystème et Histoire de l’aqueduc romain de Nîmes », 20 p. (inédit); E. ESPERANDIEU (1926), Le Pont du Gard, Paris, 96 p. ; M. FRIZOT (1975), Mortiers et enduits peints antiques, étude technique et archéologique, Dijon, 351 p. ; J.-C. GILLY (1970), Contribution à l’étude hydrogéologique de l’aqueduc romain conduisant les eaux d’Uzès à Nîmes, D.E.A. Géologie Appliquée, Montpellier, 29 p. ; J.-C. GILLY (1971-1972), Les dépôts calcaires de l’aqueduc de Nîmes, Bull. annuel École Antique de Nîmes, Nlle ser., n° 6 7, p. 61-72 ; J.-C. GILLY, R. PLEGA, J. COUDRAY (1971), note préliminaire sur les incrustations calcitiques de l’aqueduc romain du Pont du Gard, indicateurs paléoclimatiques et paléochronologiques des cinq premiers siècles de notre ère, C.R. Acad. Sci. Paris, série D, 273, p. 1668-1670 ; J.-C. GILLY, J. COUDRAY, R. PLEGAT (1978), zonation et géochimie des incrustations calcitiques de l’aqueduc romain du Pont du Gard comme témoin de la paléoclimatologie et de la paléohydrogéologie des cinq premiers siècles de notre ère, Symposium I.H.E.S. Implications de l’Hydrogéologie dans les autres sciences de la Terre. Mémoire hors série, C.E.R. G.H, – U.S. T.L., tome 2, p. 659-673 ; J.-C. GILLY, J.-V. AVIAS (1984), Contribution nouvelle è l’étude des incrustations carbonatées de l’aqueduc romain du Pont du Gard, Mémoires du G.E.R.G.H., Miscellanées, Mémoire XXII, C.E.R.G.A., Montpellier, p. 23-24 ; J.-C. GILLY (1986), Étude géochimique des incrustations de l’aqueduc romain conduisant les eaux d’Uzès à Nîmes détermination de l’origine des eaux d’alimentation, Table ronde « Travertins es évolution des paysages holocènes dans le domaine méditerranéen. Aix-en-Provence », novembre 1985, Méditerranée, 1-2, p. 131-139, 12 Ph., 2 Tabl., 1 Fig. ; J.-C. GILLY (1987), Alimentation secondaire de l’aqueduc romain de Nîmes, ATP Archéologie, géosystème et histoire de l’aqueduc romain de Nîmes, 35 p. (inédit) ; J-C. GILLY (1988), Technique de construction du canal de l’aqueduc romain de Nîmes, ATP… 13 p. (inédit) ; J.-L. GUENDON, J. VAUDOUS (1985), Les concrétions de l’aqueduc de Nîmes, observations et hypothèses, Travertins et évolution des paysages holocènes dans le domaine méditerranéen, Aix-en-Provence 1985, Méditerranée, 1-2, p. 140-151, 6 ph., 4 fig., I tabl. ; C. JOSEPH, J.-C. GILLY, C. RODIER, Le système hydrique du Pont du Gard et genèse des concrétions, ATP CNRS… 10 p. (inédit) ; H. ROQUES (1964), Étude statique et cinétique des systèmes gaz carbonique-eau-carbonates, Ann. Spéléol., 19, 2, p. 255-484 ; P. VERREZ (1985), Contribution à l’étude des dépôts carbonatés de l’aqueduc romain du Pont du Gard, DEA Sciences de l’eau et aménagement, Montpellier, 72 p.
C. Une portion de l'aqueduc près de la grange des Brunes (Gabian)
Jean-Claude GILLY
La terre qui se trouve près de la grange des Brunes sur la commune de Gabian, le long du chemin communal de Gabian à Fouzilhon, a été défoncée à la fin de l’année 1988 ; les travaux ont remonté de nombreuses pierres taillées qui proviennent de l’aqueduc romain de Béziers qui doit se trouver à faible profondeur (0,30 à 0,50 m du terrain naturel).
1 - Description des blocs
Les blocs remontés par la charrue sont taillées dans les grès du Trias de couleur rosée à blanc-jaunâtre et ils sont de deux types :
- des blocs plats jointoyés au mortier de chaux et de sable silico-calcaire constituant très certainement la voûte du canal ;
- des blocs en petits appareils pseudo-réguliers jointoyés également au mortier de chaux et de sable silico-calcaire provenant des piedroits de l’aqueduc.
2 - Le mortier de chaux et de sable silicocalcaire
Le mortier de chaux et de sable silico-calcaire ayant servi à bâtir les pierres des piedroits et de la voûte du canal est sous-dosé en chaux (teneur inférieure à 25 % alors qu’en général le dosage en chaux est supérieur à 35 % aqueduc de Mus et d’Aix-en-Provence, et atteint même 45 % par endroits, sur l’aqueduc de Nîmes). Le sous-dosage en chaux a donné un mortier peu résistant qui se désagrège sous les doigts. La granulométrie du sable silico-calcaire est étalée entre 0 et 10 m/m.
3 - Historique de l'aqueduc
Le canal de l’aqueduc au début de son fonctionnement n’était pas recouvert d’un enduit étanche de mortier au tuileau car les incrustations recouvrent les pierres du parement intérieur du canal. On peut résumer l’histoire de cet aqueduc en étudiant les blocs des piedroits du canal :
- L’aqueduc au début de son fonctionnement a transité de l’eau claire durant une dizaine d’années environ. Cette période de fonctionnement correspond aux incrustations compactes présentant une alternance de lamines jaunâtres et blanchâtres qui recouvrent les pierres du parement interne du canal ;
- Après cette phase de fonctionnement normal, les gestionnaires de l’aqueduc décidèrent un entretien de ce dernier par grattage des incrustations ; en effet, les lamines déposées durant la période de fonctionnement normal de l’ouvrage présentent des discontinuités ;
- Les eaux qui ont circulé dans le canal, après cette phase d’entretien, étaient turbides car les dépôts sont jaunâtres, « tuffacés » et d’un aspect spongieux. Ce fonctionnement a duré seulement quelques années ;
- Les dépôts « tuffacés » ont été ensuite grattés et recouverts d’un mortier de chaux au tuileau de mauvaise qualité, qui a une épaisseur maximale de 1,5 cm, présentant une surface absolument plane non recouverte de « maltha » ;
- L’aqueduc a ensuite été remis en service avec une eau claire, les dépôts correspondant à cette phase de fonctionnement sont compacts et présentent une alternance de lamines jaunâtres et blanchâtres.
4 - Essai d'interprétation des anomalies
L’intérieur du canal de l’aqueduc n’a pas été recouvert d’un enduit d’étanchéité au mortier de chaux au tuileau lors de sa construction. Cet ouvrage devait avoir des fuites au début de son fonctionnement ; cependant, peu à peu, les dépôts compacts de calcite ont dû colmater les fuites. Après une dizaine d’année au plus, les gestionnaires décidèrent de mettre l’ouvrage en chomage technique pour arracher les dépôts qui envahissaient le canal. Mais pourquoi a-t-on fait circuler dans l’aqueduc des eaux turbides et impropres à la consommation après cet entretien ? Le régime de la source avait-il changé ? Le bassin de décantation qui devait se trouver près de la source de la Reclauze était-il brisé ? La première hypothèse est peu vraisemblable car l’eau qui jaillit de cette source est claire et limpide.
Après ces quelques années de fonctionnement anormal, les responsables décidèrent un entretien important sur l’ouvrage ils réalisèrent un grattage des incrustations « tuffacées » et enduisirent ensuite l’intérieur du canal avec un mortier étanche de chaux au tuileau de 1,5 cm d’épaisseur maximale, mortier de mauvaise qualité en raison d’un sous-dosage en chaux. L’enduit n’a pas recu une couche de « maltha » comme les aqueducs de Nîmes ou de Mus.
Conclusion
Le canal de l’aqueduc romain de Béziers présente de nombreux défauts de conception et son fonctionnement a été émaillé de nombreux problèmes. Compte tenu des compétences des Romains, on peut se demander si cet ouvrage est une réalisation des autochtones, sans le concours d’ingénieurs romains, et s’il n’a pas, en fait, été réalisé au rabais. Les problèmes posés par cet aqueduc restent donc intéressants à résoudre.
A la bibliographie donnée supra note, on ajoutera :
- Casanova (1981), Étude d’un milieu seromatolitique continental. Les traversins plio-pléistocènes du Var (France), 2 vol., 132 p., 8 tabl., 30 pl., 17 fig. ;
- Casanova (1984), Genèse des carbonates d’un travertin pléistocène : interprétation paléoécologique du sondage Peyre I (Comprégnac, Aveyron), Géobios, Mém. spec., n° 8, p. 219-225, 3 fig., 2 pl. ;
- Casanova (1986), Les stromatolites continentaux : paléoécologie, paléohydrologie, paléoclimatologie. Application au rift Gregory, 2 vol. Thèse doc. état, Sci., Aix-Marseille II, 237 p., 89 fig., 17 tabl. ;
- -S. Chafetz, R.L. Folk (1984), Travertines : depositional morphology and the bacterially constructed constituents, Jour. of sedim. Petr., vol. 54, p. 249-316 ;
- F.W. Hauck, R.A. Novak (1987), Interaction of flow and incrustation in the roman aqueduct of Nîmes, Journ. of Hydraulic Engineering, vol. 113, n° 2, p. 141-157, 8 fig., et on rappellera particulièrement Gilly 1970, 1971-1972, 1971, 1978, 1984, 1986, Guendon-Vaudour 1986, Verrez 1985.
D. Un troncon de l'aqueduc à l'ouest de Magalas
Jean-Claude GILLY
L’aqueduc de Béziers traverse le territoire de la commune de Magalas. Le tronçon souterrain découvert à l’ouest de Magalas tangente la rive droite du Libron, au bord d’un petit plateau d’âge Miocène supérieur-Pliocène inférieur indifférenciés.
1 - Localisation de l'aqueduc
Ce troncon est situé à l’ouest de Magalas à 180 m environ en aval du pont de la RD n° 18 qui enjambe le Libron (X = 670,93 ; Y = 130,32 ; Z = 97 m). L’aqueduc se trouve à 300 m environ au sud de la confluence des deux branches provenant de la source de la Resclauze et des sources de la Douze et de Laurens.
2 - Description de l'aqueduc
L’aqueduc est visible sur une vingtaine de mètres au bord du petit plateau mais l’érosion régressive du Libron a entaillé ces formations Mio-Pliocènes entraînant ainsi l’effondrement d’un piedroit et de la voûte du canal. Cependant dans la partie sud de ce tronçon la coupe du canal est encore visible. La technique de construction de l’aqueduc souterrain est la suivante :
- Un radier de 0,10 à 0,15 m constitué d’un macrobéton en pierres cassées de granulométrie 20/50 mm environ, mélangées avec un mortier de chaux et de sable siliceux de mauvaise qualité sous-dosé en chaux ;
- Deux piedroits construits avec des pierres irrégulières noyées dans un mortier de chaux et de sables siliceux ; l’épaisseur des piedroits varie entre 0,20 et 0,25 m. La partie interne du canal est enduite avec un mortier de granulométrie fine enrichie en chaux ; il semble que cette partie interne a reçu une couche d’étanchéité de couleur brunâtre très différente du maltha de l’aqueduc de Nîmes.
Il n’existe pas de béton de tuileau sur ces piedroits comme on en trouve sur le même aqueduc, au sud de Gabian, ou sur les aqueducs de Nîmes, de Mus ou d’Arles ; - Une voûte surbaissée recouvre le canal.
Dans ce secteur, l’aqueduc est construit en tranchée et la hauteur de recouvrement sur la voûte varie de 1 à 2 m environ.
Les dimensions du canal sont les suivantes : épaisseur du radier 0,10 à 0,15 m ; épaisseur des piedroits : de 0,20 à 0,25 m ; épaisseur de la voûte : de 0,25 à 0,30 m ; largeur du canal : 0,54 m ; hauteur du canal à la naissance de la voûte : 1 m ; hauteur de la voûte dans sa partie axiale : 0,30 m.
3 - Les incrustations
Les piedroits de l’aqueduc ne sont pas recouverts d’incrustations, on trouve seulement quelques petits lambeaux d’incrustations terrigènes de 5 mm d’épaisseur qui se sont déposées très certainement après le fonctionnement normal de l’aqueduc. On peut expliquer cette absence d’incrustations par une extraction qui aurait été réalisé, ultérieurement, pour servir de moellons, comme on a pu l’observer sur l’aqueduc de Nîmes et sur les monuments moyenâgeux environnants. Cet arrachage des blocs d’incrustation était facilité par la discontinuité qui existe entre le mortier de chaux du parement interne du canal et les premières couches de dépôts calciques. Les blocs ainsi extraits présentaient des surfaces absolument planes et régulières et, en outre, les incrustations ont un aspect veiné qui les fait ressembler à du marbre ou de l’onyx.
Il serait intéressant d’effectuer une recherche sur les constructions voisines, datées du Moyen Age, des traces d’une éventuelle réutilisation. Aux environs de l’aqueduc de Nîmes, nous avons récence 380 tonnes d’incrustations dans les constructions médiévales (cf. Les incrustations calcitiques de l’aqueduc romain de Nîmes deviennent églises, chapelles et fortifications, Action thématique programmée, Aqueduc romain de Nîmes, rapport inédit, C.N.R.S.).
4. - Les pentes et les débits
La pente moyenne entre la source de la Resclauze et Magalas est de 0,8 % (8 m/km) alors qu’en aval de Magalas la pente s’abaisse à 0,2 % (2 m/km). La hauteur d’eau atteinte dans l’aqueduc est de 0,80 m environ d’après les laissés d’incrustation, si on applique la formule de Maning :
- Q = K. R 2/3. i 1/2. S
- On peut donc calculer le débit de l’aqueduc en m3/s.
- (Q = débit en m3/s ; K = coefficient de Maning (= 70 dans notre cas) ;
- R = rayon hydraulique = B = largeur du canal en mètres ;
- H = hauteur atteinte par l’eau en mètres ; i = pente du canal ;
- S = surface libre du canal en m² soit B x H).
- Le débit de l’aqueduc est donc d’après les laissés d’incrustation égal à : 70 x 0,16 2/3. (2.10-3) 1/2 x 0,43, soit : 0,390 m3/s.
La vitesse de l’eau dans le canal était de 1 m/s environ.
Il est bien évident que le débit calculé est fonction des laisses d’incrustation, mais on doit cependant se poser une question importante : les laisses que l’on observe actuellement correspondent-elles à la première couche de dépôt ? Dans l’hypothèse où les laisses d’incrustation correspondent à un canal déjà incrusté, le débit serait alors beaucoup plus faible. Nous pensons que cette hypothèse est la plus vraisemblable eu égard aux débits actuels des sources captées.
Annexe III - Les données historiques sur Gabian et les moulins
A. Gabian aux IXe-XIIIe siècles : état des connaissances
Aime DURAND
Le dépouillement des sources régionales disponibles antérieures au début du XIIIe siècle et susceptibles de concerner Gabian n’a livré que très peu d’actes, une dizaine au total, qui ont trait spécifiquement à ce village (tableau 1). Nous éliminerons d’emblée de ce corpus le diplôme de 899 qui à notre avis, étant donné le contexte général, concerne Capestang et non pas Gabian comme le pensent les éditeurs des actes de Charles III le Simple 1. Cette interprétation est aussi celle d’Hamlin 2.
La domination ecclésiastique
La villa de Gabian, ainsi que les terres et vignes afférentes, fait partie du patrimoine carolingien de l’Église biterroise puisqu’elle arrive en seconde position dans le bref de l’advocatus de l’évêque, Ansefried 3. Point important : l’évêque la tient en mains propres ; elle n’est pas cédée en tenue aux vassi comme l’immense majorité des biens énumérés dans la suite du texte. L’origine de la seigneurie épiscopale sur Gabian au Moyen Age est domaniale. Cette place de Gabian au coeur même du grand domaine ecclésiastique se mesure en 1130, à l’occasion d’une donation de dîme à Grézan. L’évêque fait préciser que la redevance qui consiste en trois setiers « marchands » de froment doit être portée à Gabian : ce village apparaît comme centre de dîmerie récoltant les produits de la terre. Ceci suppose des bâtiments de stockage importants de type granges seigneuriales au sein ou près du village.
En 1153, Gabian est pour la première fois qualifié de castrum. La définition établie pour ce terme par M. Bourin-Derruau 4 met plus l’accent sur le caractère d’autorité publique découlant de l’usurpation des pouvoirs régaliens que sur le système défensif. Une charte de 1195 exempte le tenancier d’un estar des tolte et quiste et autres services dus au castelli de Gabian. C’est le signe que l’établissement de « mauvaises coutumes » liées à l’usurpation du ban s’est produit en liaison avec la réorganisation castrale. Enfin, nous n’avons trouvé aucune trace de seigneurs de Gabian autres que celle de l’évêché. Par conséquent, nous pouvons conclure que la seigneurie banale est établie à Gabian par l’évêque de Béziers au milieu du XIIe siècle. D’ailleurs, en 1216, lors d’une ultime confirmation pontificale, le castrum de Gabian arrive en tête de la liste des castra et villa appartenant à l’évêque biterrois. Cette situation originelle privilégiée dès le IXe siècle paraît se prolonger jusqu’à la fin du Moyen Age puisque la résidence d’été des évêques est encore visible aujourd’hui dans le village 5.
Un centre économique important
Il n’est donc pas étonnant qu’en 1180, Gabian voit se concrétiser matériellement ses pouvoirs par l’attribution d’un marché hebdomadaire le mercredi : centre d’une seigneurie ecclésiastique à la fois foncière et banale, le village devient un point d’échange et de commerce important dans cette région. Rappelons que la dîme de 1130 fait état de trois setiers marchands à porter à Gabian : l’acte de 1180 ne ferait à notre sens qu’entériner une situation qui existe depuis le début du siècle. Il est rare de rencontrer une telle autorisation dans les textes régionaux. Nous soulignerons le soin apporté par les évêques à l’essor de leur seigneurie dans ce terroir, ce qui laisse penser que Gabian est l’un des fleurons régionaux de leurs possessions. C’est également pour eux un moyen de concurrencer efficacement les autres castra laïques de la région.
Restent aussi ces fameux moulins en enfilade toujours en place aujourd’hui dont nous n’avons pas trouvé trace dans la documentation mais qui forment une véritable installation artisanale voire industrielle. Nous avons déjà proposé par ailleurs une interprétation et datation à ce sujet 6. L’hypothèse d’une construction à l’instigation des évêques de Béziers, probablement durant le XIIe siècle, période pendant laquelle ils s’efforcent de développer le nouveau castrum, est de loin la plus vraisemblable.
La configuration du village
En 1195, la concession d’un estar ou manse avec jardin dans le village apportent quelques informations intéressantes sur la morphologie du castrum. L’estar et son ortal sont situés « extra interiores muros » (tableau 1). Cette localisation atteste que le castrum est ceint de murailles, les muri, véritables fortifications en dur, probablement en pierre. Mais la précision du texte est telle qu’elle nous restitue l’image de deux enceintes successives car la locution interiores muros sous-entend qu’il existe des exteriores muros.
Cet estar ou manse confronte sur trois côtés des vignes. Ainsi, la zone castrale où il est implanté est-elle formée de maisons composites à plusieurs bâtiments s’organisant autour d’une cour 7 entourées de jardins et vignes. Ici, l’espace non bâti occupe une place importante et les maisons ressemblent plus au noyau bâti de petits centres d’exploitation qu’à de véritables habitations jointives à la trame compacte.
Enfin, l’acte de 1195 emploie le mot de castelli qui désigne à partir du XIIIe siècle le château, le caput castri, par opposition au village fort, le castrum 8. En nous appuyant sur cette acception du mot, nous proposons la restitution suivante pour l’organisation du castrum vers la fin du XIIe siècle : un espace bâti serré représente le cœur du village où est installé le « château » proprement dit, c’est-à-dire, la demeure forte des seigneurs ; il est fortifié d’une première enceinte ; vient ensuite la seconde zone castrale que nous venons de décrire, elle aussi entourée d’une muraille. Elle semble en cours d’intégration car à mi-chemin entre le centre habité et le terroir du village proprement dit. Cette double enceinte n’est pas sans rappeler le cinctus superior et le cinctus inferior si fréquent en Biterrois à cette époque 9. Cette description laisse présager de l’évolution ultérieure du village et témoigne du processus complexe d’incastellamento.
Cet ensemble de données fournies par la documentation écrite nous offre une première esquisse du village médiéval. Elles devront être confrontées à l’avenir aux recherches de terrain, notamment aux informations issues de la surveillance archéologique faite par J.-P. Mailhé au sein même du noyau habité.
⁂
Notes
1. P. Lauer, Recueil des Actes de Charles III le Simple, roi de France (893-923), Paris, 1946, n. 25, P. 51 « et villares quas vacant Gabiano sine Gabianello ».
2. F. Hamlin, Les noms de lieux du département de l’Hérault. Nouveau dictionnaire topographique et étymologique, Poussan, éd. abbé L. Cabrol, 1983, p. 168.
3. Ce bref fait partie des quatre polyptyques ou brefs carolingiens connus du Midi de la France, voir J.-P. Poly, Régime domanial et rapports de production féodalistes « dans le Midi de la France (VIIIe-Xe siècles), Structures féodales et féodalismes dans l’Occident méditerranéen, Colloque international CNRS-École française de Rome, 1978, Rome, 1980, p. 57-84.
4. M. Gramain, Castrum, structures féodales et peuplement en Biterrois au XIe siècle, Structures féodales et féodalisme dans l’Occident méditerranéen, Colloque international CNRS-École françaises de Rome, 1978, Rome, 1980, p. 119-134.
5. J.-P. Mailhé, communication orale. Cette résidence présente un très beau décor peint, avec blasons, sur plafond de bois.
6. A. Durand, Apport des sources historiques du Moyen Age central à l’histoire des travertins du Midi de la France, J. Vaudour, dir., Les édifices travertineux et l’histoire de l’environnement dans le Midi de la France (Provence, Languedoc, Roussillon), Travaux 1988, n° XVII, U.A., n° 903-CNRS, Laboratoire de Géographie physique, université d’Aix-Marseille II, p. 108-114.
7. M. Bourin-Derruau, Villages médiévaux en Bas-Languedoc : genèse d’une sociabilité (Xe-XIVe siècles), Paris, 1987, p. 24-25.
8. M. Bourin-Derruau, op. cit., p. 79.
9. M. Bourin-Derruau, op. cit., p. 71.
B. Les moulins à eau et à blé de la commune de Gabian (Hérault)
KRESS et J.-P. MAILHÉ
C’est dans le cadre d’un travail de recherche sur les moulins à blé de la commune de Gabian, que nous présentons dans cette note, le résultat de nos derniers travaux 1.
La documentation écrite faisant défaut, pour les moulins de Gabian, une recherche auprès de personnes susceptibles de nous renseigner a été tentée dans les environ de Gabian. Nous nous faisons ici un devoir de remercier la personne qui désire garder l’anonymat, qui a mis spontanément à notre disposition des documents, inédits sur le village de Gabian et, surtout, les premiers témoignages écrits sur les cinq moulins de la Resclauze, et sur le moulin du village. Ces archives couvrent tout le 18e siècle et nous retracent la vie d’une riche famille meunière qui, à son apogée a possédé les six moulins du village.
L’origine de cette famille Sirgues se situe au moulin de Brossette dans la commune de Raissac. D’après les documents en notre possession, on peut supposer que, vers 1745, deux fils de cette famille, Louis et Jean-Pierre Sirgues, sont venu à Gabian pour acheter un moulin. Le mariage de Jean-Pierre Sirgues, avec la fille d’un riche propriétaire terrien, a été sans doute le point de départ de leur expansion.
L’intérêt de ces documents réside dans la minutie avec laquelle cette famille a tenu ses comptes, un état descriptif des moulins ; les problèmes de famille (ils sont nombreux), sont aussi mentionnés. Au cours de différents voyages à Paris, ils se tiennent au courant des derniers progrès de l’hydraulique. C’est au travers des nombreux procès entre la communauté de Gabian et autres propriétaires des moulins que nous saisissons le mieux l’importance de cette famille au sein du village. Nous pouvons suivre son évolution sociale par les mariages qu’ils ont contractés avec les grandes familles du village.
Nous présentons le premier inventaire complet de ces moulins, en indiquant pour chacun d’eux, le point d’eau qui servait à leur alimentation. Ensuite, nous dresserons l’inventaire d’un fond d’archives privées.
Parmi tous ces documents, la pièce vraiment exceptionnelle, est le plan complet du complexe hydraulique et moulinier de la Resclauze, qui a été certainement établi à l’occasion d’un procès.
Vu la diversité, de ces documents, nous les avons classés par chapitres et nous vous présentons ici l’inventaire concernant les moulins.
Inventaire des moulins de Gabian
Moulin n° 1 Section E n° 754 la Bouissière (propriétaire M. Wersgerder), alimentation par la Resclauze.
Moulin n° 2 Section E n° 754 la Bouissière (propriétaire M. Wersgerder), alimentation par la Resclauze.
Moulin n° 3 Section D n° 91 Hortes Hautes (propriétaire M. Delcher Adrien), alimentation par la Resclauze.
Moulin n° 4 Section D n° 99 Hortes Hautes (propriétaire Mme Fabry Jeanne), alimentation par la Resclauze.
Moulin n° 5 Section D n° 104 les Hortes Hautes (propriétaire M. Paillet Guy), alimentation par la Resclauze.
Moulin n° 6 Section A.C n° 2 Village, (propriétaire M. Baroni Jean), alimentation au confluent de la Thongue et de la Lène.
Moulin n° 7 Section C n°13 Moulin de Casso (propriétaire M. Paihlé André), alimenté par une source captée, qui prend naissance dans la vigne de M. Galzy Jean-Luc.
Moulin n° 8 Section C n° 19 Moulin de Casso (propriétaire Commune de Gabian), alimenté par une source captée, qui prend naissance dans la vigne de M. Galzy Jean-Luc.
Inventaire de documents inédits concernant les moulins à eau et à blé de Gabian
N° 1 Pour le Sieur Sirgues de Gabian contre Claude Guibert du dit lieu, documents comprenant trois chapitres.
a) 27 mai 1691 : Copie de délibération ;
b) 9 septembre 1789 : Deux extraits de compoix ;
c) 26 février 1790 : Copie de règlement.
N° 2 10 février : Vente d’un moulin cazal par la communauté en faveur du dit Jean Gimié du dit lieu de Gabian.
N° 3 10 février 1723 : Extrait du compoix de la commune de Gabian pour la vente du moulin cazal.
N° 4 1768 : Procès, entre Louis Sirgues de Gabian, contre Colrat et fils, du même lieu.
N° 5 1er juin 1785 : Conseil pour le Sieur Sirgues de Gabian, délibéré à Béziers, le 1er juin 1785, contre la commune concernant le droit de mouture et, contre autres particuliers du lieu de Gabian.
N° 6 1784 à 1814 : Carnet (7 pages) de notes, il est fait mention d’un mémoire sur les cannelles du moulin de la rivière.
N° 7 3 août 1786 : Conseil pour le Sieur Sirgues du lieu de Gabian, Contre la communauté du dit lieu, délibéré à Béziers (droit de mouture).
N° 8 Conseil pour la communauté de Gabian et pour le Sieur Sirgues du dit lieu de Gabian, délibéré à Montpellier le 26 juillet 1787, (droit de mouture).
N° 9 24 juillet 1790 : Conseil ou mémoire en réponse à la délibération de la communauté de Gabian, contre le Sieur Sirgues et Gept, du dit lieu concernant le droit de mouture, de leurs moulins.
N° 10 15 prairial an 3 : État de consistance que baille devant le tribunal de famille, le citoyen Louis Sirgues en exécution d’un jugement du dit tribunal, rendu entre lui et Marie Sirgues sa sœur. Il est fait mention de cinq moulins à blé.
N° 11 1797 : Relevé du compoix pour deux moulins de la Resclauze et, celui de la rivière.
N° 12 1807 à 1808 : Comptes des revenus du moulin de la Resclauze et du moulin de la rivière.
N° 13 1812 à 1813 : Du mois d’août 1812 au mois de juillet 1813, précision mensuelle de la mouture, ainsi que des possibles variations du prix du blé (non chiffré). Pour le détail voir le n° 8.
N° 14 13 mai 1812 : Extrait de la pétition du Sieur Gimié, contre le Sieur Sirgues.
N° 15 1812 : Le Sieur Sirgues, propriétaire de deux moulins à blé, domicilié à Gabian, à M. Fournier, sous-préfet, de l’arrondissement de Béziers.
N° 16 Papier non daté : 11 x 8 cm, il est fait mention du moulin de la rivière et de la Resclauze.
N° 17 Revenus des moulins de la Resclauze et de la rivière de 1807 à 1815.
N° 18 7 août 1812 au 23 avril 1813 : Relevé semaine après semaine du prix du blé, du seigle, et du millet.
N° 19 Mémoire des revenus du moulin de la rivière de 1810-1811-1812-1813-1814-1815.
N° 20 1815 : État des revenus du moulin de la rivière à compter du 1er janvier 1810 au 31 décembre 1815.
N° 21 Estimation des possessions, et des revenus de la famille Louis Sirgues.
N° 22 État descriptif d’un moulin de la Resclauze.
N° 23 Description des cannelles du moulin de la rivière et du moulin Grand de la Resclauze.
N° 24 Prise de position du propriétaire du moulin de Gimié, pour l’entretien du canal.
N° 25 Déclaration d’un propriétaire de jardin assurant qu’il a toujours usé, paisiblement, du droit d’arroser son jardin.
Note
1. Depuis la rédaction de ces lignes (décembre 1989), nous avons pu disposer de nouveaux et importants documents sur la source et les moulins : en particulier nous avons l’ensemble des pièces du procès qui a opposé, à ce sujet, commune et propriétaires à la fin du XIXe et au début du XXe siècle. Nous publierons cet ensemble ultérieurement.
